Characterization of PEGylated Niosomal Nanoparticles Loaded with Curcumin and their Effects on Human Ovarian Cancer Cells
Download
Abstract
Overview: Curcumin is known for its broad range of biological properties, particularly its anticancer effects. However, its poor bioavailability limits its therapeutic potential at the tumor site. To overcome this limitation, this study aimed to develop a nanoniosomal formulation of curcumin using polyethylene glycol to improve its delivery and efficacy against ovarian cancer cells in vitro.
Methods: Curcumin-loaded nanoniosomes were synthesized via the reverse-phase evaporation method. The resulting nanoparticles were characterized for their particle size, zeta potential, and drug release profile. Drug loading and encapsulation efficiency were also measured. For biological evaluation, the human ovarian cancer cell line A2780S was treated with the nanoniosomal formulation, and cytotoxicity was assessed using the MTT assay.
Results: The prepared nanoniosomes had an average particle size of 222.3 ± 17.6 nm and a zeta potential of −28.4 ± 1.1 mV, indicating good colloidal stability. Drug loading and encapsulation efficiency were found to be 50.8 ± 7.3% and 24.3 ± 1.3%, respectively. The in vitro release study revealed a sustained release profile, with 50.1 ± 5.9% of curcumin released over 34 hours. MTT assay results demonstrated that the nanoniosomal curcumin exhibited significantly higher cytotoxicity compared to free curcumin against A2780S cells.
Conclusion: The findings suggest that curcumin-loaded nanoniosomes represent an effective drug delivery system that enhances the bioavailability and anticancer activity of curcumin. This nanocarrier system shows promise as a chemopreventive strategy for the treatment of ovarian cancer and warrants further preclinical evaluation.
Introduction
There are various chronic diseases for which humanity has always sought different treatment solutions to alleviate pain and suffering. In this regard, numerous studies have been conducted in all fields including dentistry, diabetes, and other areas of biology in an effort to improve human life [1-13]. Technological advancements are driving innovations across nanomaterials, AI, blockchain, and healthcare. For example, research on anisotropic elasticity and topological properties is advancing spintronic devices for efficient nanoscale computing [14], while nanoparticle formulations enhance targeted drug delivery and cytotoxicity [15, 16]. In healthcare, AI plays a key role in diagnosis, treatment, and patient care [17], including hybrid machine learning for kidney transplant outcomes [18] and AI criteria ranking for health tourism [19]. Blockchain improves traceability, as in food supply chains for waste reduction [20] and AI-integrated models for healthcare logistics [21]. However, digitalization’s downsides, such as game addiction’s mental health impacts [22], highlight the need for balanced approaches, alongside case studies like leukemia transformations aiding diagnostic precision [23]. For instance, the application of ozone therapy in dentistry has shown promising results in healing and pain management, as demonstrated by systematic reviews of clinical trials [24]. Similarly, breakthroughs in brain tumor detection have leveraged deep learning and transfer learning for precise MRI-based classification [25], while advanced U-Net architectures with CNN backbones have improved automated lung cancer detection and segmentation in chest CT images [26]. Such progress underscores the potential for integrating cutting-edge computational tools with clinical practice to address complex health challenges effectively. Cancer is one of the leading causes of death worldwide, and conventional treatments such as surgery, radiotherapy, and chemotherapy often face limitations such as high toxicity and lack of selectivity [27-40]. Recent research has explored innovative approaches to address the limitations of conventional cancer treatments, focusing on improving survival rates, reducing side effects, and enhancing patient outcomes. For instance, studies have investigated the influence of biological factors such as ABO blood group on postoperative outcomes in hepatocellular carcinoma, demonstrating potential correlations with survival and recurrence rates [41]. Additionally, the use of metformin in diabetic patients undergoing gastrectomy for gastric cancer has shown promising effects on survival and recurrence, suggesting a repurposing of existing medications to improve oncological outcomes [42]. Furthermore, nutritional deficiencies, such as vitamin B12 deficiency following total gastrectomy, have been systematically analyzed to understand their prevalence and associated symptoms, highlighting the importance of postoperative care in gastric cancer patients [43]. In the realm of diagnostic imaging, techniques like the use of lead aprons during computed tomography (CT) scans of the head have been studied to reduce breast surface dose, thereby lowering cancer and mortality risks, particularly for female patients [44]. Moreover, advancements in palliative care for metastatic cancers, such as the use of 153Sm-EDTMP for bone pain relief in breast and prostate cancer patients, have shown efficacy in improving quality of life [45]. Beyond cancer, the management of osteoarthritis is also critical, with studies examining the association of tramadol versus codeine prescriptions with all-cause mortality and cardiovascular risks, emphasizing the need for careful consideration of pain management strategies in chronic diseases [46]. Additionally, the potential of pristine and Al-doped boron nitride nanotubes as drug delivery vehicles for Levodopa, an anti-neurodegenerative drug, has been investigated using a DFT approach, aiming to enhance targeted delivery and minimize off-target effects [47]. Furthermore, the role of microRNAs in the epigenetic regulation of hepatocellular carcinoma progression has been highlighted, emphasizing their potential as therapeutic, diagnostic, and prognostic factors to improve patient outcomes and reduce treatment-related toxicities [29]. These findings underscore the multifaceted approaches being developed to enhance the management of both cancer and other significant conditions like osteoarthritis, from surgical outcomes to supportive care and risk reduction strategies. Ovarian cancer remains one of the most fatal forms of gynecologic cancer globally, largely due to challenges such as delayed diagnosis, frequent tumor recurrence, and the emergence of resistance to chemotherapy [48-51]. Although standard chemotherapeutic agents like paclitaxel and cisplatin are commonly used in clinical practice, their lack of specificity and associated systemic toxicity often limit their overall therapeutic effectiveness [52, 53]. As a result, natural compounds with anticancer activity such as curcumin, a polyphenol derived from the rhizome of Curcuma longa have gained significant interest in recent years [54]. Curcumin exhibits a wide range of biological functions, including anti-inflammatory, antioxidant, and anticancer effects [54-55]. Its antineoplastic mechanisms involve the regulation of various molecular pathways, including the promotion of apoptosis, inhibition of cell growth, and prevention of angiogenesis and metastasis [50, 56]. Nonetheless, curcumin’s clinical potential is significantly hampered by its poor solubility in water, limited absorption in the gastrointestinal tract, and rapid systemic clearance [57]. These drawbacks highlight the need for a suitable delivery system that can improve its bioavailability and direct it more effectively to tumor sites [58, 59]. Targeted drug delivery systems aim to transport therapeutic agents directly to diseased tissues, minimizing side effects and enhancing treatment efficacy [60-62]. Nanocarrier-based drug delivery systems such as liposomes, polymeric nanoparticles, and niosomes have emerged as promising tools to overcome these limitations [63-68]. Additionally, nanotechnology-based approaches, such as the use of 5-aminolevulinic acid (5-ALA) conjugated hollow gold nanoparticles (HGNs), have been explored to enhance radio and photosensitivity in oesophageal cancer cell lines, offering potential for more targeted and effective therapies [69]. Among them, niosomes, which are vesicles composed of non-ionic surfactants, offer advantages such as biocompatibility, structural stability, and the ability to encapsulate both hydrophilic and hydrophobic agents [70]. Additionally, PEGylation of the niosome surface can prolong circulation time and reduce clearance by the reticuloendothelial system, enhancing drug accumulation in tumor tissues [71].
This study focuses on the development and evaluation of PEGylated curcumin-loaded nanoniosomes. The formulation was characterized for its physicochemical properties and assessed for in vitro cytotoxicity against A2780S ovarian cancer cells, with the aim of exploring its potential as a chemopreventive approach in ovarian cancer treatment.
Materials and Methods
Span 40, cholesterol, polyethylene glycol 2000, and curcumin were procured from Sigma Company (Germany), while the A2780S cell lines were obtained from the Pasteur Institute’s cell bank in Iran.
Formulation of Drug-Encapsulated Nanoparticles
To prepare nanoparticles loaded with the drug, approximately 12 mg of Span 40, 9 mg of PEG, 40 mg of cholesterol, and 18 mg of curcumin were dissolved in 50 ml of chloroform and stirred at 140 rpm for 2.5 hours until completely dissolved. The solvent was then evaporated using a rotary evaporator at 65°C and 160 rpm. Next, 20 mg of polyethylene glycol 2000 was dissolved in 30 ml of phosphate-buffered saline (PBS, pH 7.2). The gel layer that formed at the bottom of the round-bottom flask was subsequently dissolved in the buffer by stirring at 240 rpm for 1.5 hours until fully dispersed. The resulting suspension was sonicated at 60 Hz at room temperature for 7 minutes to achieve uniform vesicle formation. Blank nanoparticles were prepared following the same procedure, excluding the addition of curcumin.
Size and Zeta Potential Analysis of Nanoparticles
The dimensions and zeta potential of the nanoparticles were evaluated using a Zetasizer instrument (Nano ZS3600, Malvern Instruments, UK). For this purpose, 1 mg of the nanoparticle formulation was dissolved in 100 ml of phosphate-buffered saline (PBS). Following measurement of its absorbance at 633 nm, the zeta potential and average diameter of the nanoniosomes were determined with the Zetasizer instrument.
Encapsulation Eficiency Determination
The quantity of drug encapsulated within the nanoniosomes was measured as follows: The nanoniosome suspension was centrifuged at 21,000 rpm for 30 minutes at 4°C, and the supernatant was collected. The absorbance of each drug formulation was then measured at a wavelength of 290 nm. The encapsulation efficiency and drug loading were calculated using the following formulas

Cellular Cytotoxicity Assessment
To evaluate the cytotoxic effects of the curcumin- loaded niosome formulation, a 3-(4,5-dimethylthiazol-2- yl)-2,5-diphenyl tetrazolium bromide (MTT) assay was conducted, comparing its impact with that of the free drug and blank controls. For this study, the A2780S cell line was cultivated in a humidified environment with 5% CO2 using RPMI-1640 medium enriched with 10% Fetal Bovine Serum (FBS), 100 μg/ml streptomycin, and 100 U/ml penicillin. Briefly, 100 μl of a suspension containing 12,000 cells was added to each well of a 96-well plate and incubated at 37°C with 5% CO2. The cells were exposed to identical concentrations of the nanoniosomal curcumin formulation, control, and standard curcumin drug. After 24 hours, the cell supernatant was discarded, and 100 μl of RPMI 1640 medium was replenished. Following an additional 48 hours of incubation, the medium with the drug formulation was removed, and MTT solution (0.5 mg/ml in PBS) was introduced into each well, followed by incubation at 37°C for 1 hour. The resulting formazan crystals were dissolved in 100 μl of 100% isopropanol, and the absorbance was measured at 570 nm using an ELISA reader (Bio Tek Instruments, VT, U.S.A). This procedure was repeated three times, and cell viability was determined using the appropriate formula

Curcumin Release Assessment
The release profile of curcumin was evaluated using a dynamic membrane diffusion method. A niosomal suspension containing 6 mg of curcumin was placed into a dialysis bag with a molecular weight cut-off of 10,000 Da. The dialysis bag was then immersed in a container with 24 mL of phosphate buffer (pH 7.2) and maintained at 25°C with magnetic stirring at 120 rpm for 34 hours. At designated time points (2, 5, 8, 11, 17, 27, and 34 hours), 1 mL samples were withdrawn and replaced with an equivalent volume of fresh PBS. The absorbance of each sample was measured at 290 nm, and the concentration of released curcumin was calculated using a standard curve.
Statistical Evaluation
Statistical analysis was performed using SPSS software version 11, with a P-value less than 0.05 deemed statistically significant
Results
Nanoparticle Characterization
In this research, we effectively created a curcumin- encapsulated niosome nanoparticle formulation through the reverse-phase evaporation technique. The particle size and zeta potential of the drug-loaded nanoparticles were measured at 222.3 ± 17.6 nm and -28.4 ± 1.1 mV, respectively, suggesting good colloidal stability.
Drug Loading and Encapsulation Eficiency
The outcomes for encapsulation and loading efficiency were recorded as 50.8 ± 7.3% and 24.3 ± 1.3%, respectively. This indicates that approximately 50% of the administered drug was incorporated into the nanoparticles, with curcumin comprising 24.3% of the nanodrug’s total weight.
Cytotoxicity Assay and Cell Viability
As depicted in Figure 1, a significant reduction in cell viability was observed in a dose-dependent fashion following the exposure of ovarian cell lines to both the free drug and its nanoniosomal formulation, as determined by the MTT assay (Figure 1).
Figure 1. The Cytotoxicity Nanoniosome Curcumin, Curcumin Freed and Control Over Cell Lines from Human Ovarian Cancer A2780S.

Additionally, the IC50 value of the nanodrug was lower than that of the free drug in the A2780S cell lines, indicating that niosomal nanoparticles improved the effectiveness of anticancer-drug compared to the free drug.
Drug Release Profile
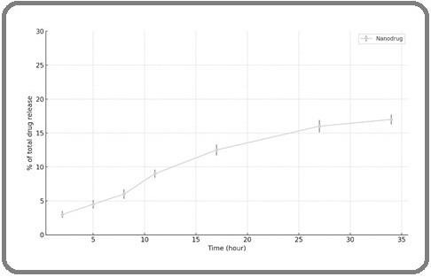
The drug release findings indicated a sustained release behavior, with 50.1 ± 5.9% of the niosomes released after 34 hours. According to Figure 2, the drug release from the formulation occurs in an increasing manner; however, the rate of release slows down over time (Figure 2).
Figure 2. The Release of Nanoparticles Curcumin Niosomal.

Discussion
Advancements in technology have significantly transformed medical and scientific fields, enhancing precision and efficacy in various applications. Innovations such as pH-responsive microneedle arrays enable precise drug delivery for wound healing, while novel intrusion detection systems improve security in mobile social networks. Additionally, visible-light-responsive nanocomposites have shown promise in photocatalytic antibiotic degradation, offering sustainable solutions for environmental and health challenges. These developments highlight the potential of cutting-edge technologies to address complex issues across healthcare, cybersecurity, and environmental sustainability [72-79]. The development of a curcumin-loaded niosome nanoparticle formulation via the reverse-phase evaporation method has proven to be a promising approach to overcome the inherent limitation of curcumin’s poor bioavailability, which has historically restricted its therapeutic efficacy against ovarian cancer [80]. The characterization results, revealing an average particle size of 222.3 ± 17.6 nm and a zeta potential of
-28.4 ± 1.1 mV, suggest that the nanoniosomes exhibit favorable colloidal stability, a critical factor for effective drug delivery systems [81]. This stability is likely enhanced by the incorporation of polyethylene glycol 2000, which may contribute to prolonged circulation time and reduced clearance by the reticuloendothelial system [82]. The encapsulation and loading efficiencies, measured at 50.8 ± 7.3% and 24.3 ± 1.3% respectively, indicate that approximately half of the administered curcumin was successfully incorporated into the nanoparticles, with curcumin constituting a significant portion of the nanodrug’s weight [70]. This efficient encapsulation underscores the potential of the niosomal system to serve as an effective carrier, potentially improving the drug’s solubility and stability at the tumor site [83]. The sustained release profile, with 50.1
± 5.9% of curcumin released over 34 hours, highlights the controlled release capability of the nanoniosomes. As shown in Figure 2, the gradual increase in drug release followed by a slower rate over time suggests a mechanism that could maintain therapeutic concentrations over an extended period, thereby enhancing efficacy while minimizing systemic toxicity. This controlled release is a key advantage over free curcumin, which is rapidly metabolized and excreted [80, 84]. The cytotoxicity assay results, as illustrated in Figure 1, demonstrate a significant dose-dependent decrease in cell viability of the A2780S ovarian cancer cell line when treated with the nanoniosomal curcumin formulation compared to the free drug. The lower IC50 value of the nanodrug further confirms its enhanced potency, likely due to improved cellular uptake and sustained exposure facilitated by the liposomal structure. This enhanced efficacy suggests that the nanoniosomal delivery system amplifies the anticancer properties of curcumin, making it a more viable option for ovarian cancer treatment.
Overall, these findings support the hypothesis that curcumin-loaded nanoniosomes represent an effective drug delivery platform, improving bioavailability and anticancer activity. The combination of stable nanoparticle characteristics, efficient drug loading, sustained release, and increased cytotoxicity positions this formulation as a potential chemopreventive strategy for ovarian cancer. However, further preclinical studies are necessary to validate these results in vivo and explore the formulation’s safety and scalability for clinical application [85].
Future Study
Technological advancements have dramatically transformed biology, revolutionizing research and applications [86-89]. For instance, biomimetic nanomaterials mimic natural tissue properties to enhance healing in regenerative oral medicine [90]. Similarly, silver nanoparticles leverage their antimicrobial properties to improve oral health outcomes in preventive dentistry [91]. Novel bioactive materials designed for dental regeneration highlight nanotechnology’s potential to repair and restore dental tissues [92]. Advances in bioactive nanomaterials have also opened new avenues for oral cancer biosensing, offering highly sensitive diagnostic tools [93]. Aluminum nanoparticles demonstrate versatility in sustainable medical applications, such as drug delivery systems [94]. Additionally, gold nanoparticles have emerged as powerful biosensors in oral medicine and dentistry, enhancing diagnostic precision through their unique optical and chemical properties [95]. These innovations underscore nanotechnology’s transformative impact on biological and medical applications.
Acknowledgements
None.
Data availability
Not applicable as we used information from previously published articles.
Ethical issue and approval
Not applicable as we used information from previously published articles.
Consent for publication
All authors have given consent for publication.
Conflict of interest
The authors declare no potential conflict of interest.
References
- Evaluation of Isfahan’s Dental Students’ Awareness about Preventive Dentistry Nilchian F., Kazemi Sh., Abbasi M., Ghoreishian F., Kowkabi M.. Journal of Dentistry.2014;15(1). CrossRef
- Antibacterial property of hydroxyapatite extracted from biological sources and doped with Cu2+ and Ag+ by Sol-gels method Abbasi M, Rashnavadi M, Gholami M, Molaei S. Scientific Reports.2025;15(1). CrossRef
- Optimizing the hydroxyapatite nanocrystals derived from biological sources to increasing efficiency and quality Abbasi M, Derakhshankhah H, Kashanian S, Izadi Z, Soleiman Beigi M. Journal of Ilam University of Medical Sciences.2024;32(5). CrossRef
- Comparative Analysis of Osteoblastic Responses to Titanium and Alumina-Toughened Zirconia Implants: An In Vitro Study Saberian E, Jenča A, Seyfaddini R, Jenča A, Zare-Zardini H, Petrášová A, Jenčová J. Biomolecules.2024;14(6). CrossRef
- Gingival bullae-A rare visible case report Jalili Sadrabad M, Saberian E, Saberian E, Behrad S. Journal of Research in Applied and Basic Medical Sciences.2024;10(1):31-34. CrossRef
- Applications of artificial intelligence in regenerative dentistry: promoting stem cell therapy and the scaffold development Saberian E, Jenča A, Jenča A, Zare-Zardini H, Araghi M, Petrášová A, Jenčová J. Frontiers in Cell and Developmental Biology.2024;12. CrossRef
- Plasma Therapy for Medication- Related Osteonecrosis of the Jaws- A Case Report Sadrabad MJ , Saberian E. Case Reports in Clinical Practice.2023;8(1):1-4. CrossRef
- The Brain-Body Connection: Neuroscience’s Role Across Medical Sciences Disciplines Javadzadeh A, Shafiei D, Amlash RS , Mehrvar R, Sepehrian S, Shafiee A, Nasrollahi S, et al . Kindle.2025;5(1).
- Remove Nickel (II) From Drinking Water Using Thiol- Functionalized Chitosan Izadi, Mehdi , Meysam Ebrahimifar , Leila Kanaani , Hasan Ebrahimi Shahemabadi , Kamran Amir Sardari , Mohamad Reza Abadian , Kamal Sadate Aselan , Elham Ebrahimi Naghani , Hemen Moradi-Sardareh . ResearchGate.2025.
- Comparison of biochemical factors and liver enzymes in type 2 diabetes patients and healthy individuals. Bulletin of Environment Ebrahimi Far , Maysam, Manouchehr , Mazdapour, Arasto Kaki , Pouria Mohammadi , Masoud Zakerjafari , Aso Lavi , Hemen Moradi-Sardareh . Pharmacology and Life Sciences.2015;4:1-4.
- Unveiling the menace: a thorough review of potential pandemic fungal disease Jafarlou M. Frontiers in Fungal Biology.2024;5. CrossRef
- The emerging role of noncoding RNAs in systemic lupus erythematosus: new insights into the master regulators of disease pathogenesis Afrashteh Nour M, Ghorbaninezhad F, Asadzadeh Z, Baghbanzadeh A, Hassanian H, Leone P, Jafarlou M, et al . Therapeutic Advances in Chronic Disease.2023;14. CrossRef
- High-speed forward-viewing optical coherence tomography probe based on Lissajous sampling and sparse reconstruction Wu X, Ishrak R, Reihanisaransari R, Verma Y, Spring B, Singh K, Reddy R. Optics Letters.2024;49(13). CrossRef
- Anisotropic Elasticity, Spin-Orbit Coupling, and Topological Properties of ZrTe2 and NiTe2: A Comparative Study for Spintronic and Nanoscale Applications Fazeli Y, Nourbakhsh Z, Yalameha S, Vashaee D. Nanomaterials (Basel, Switzerland).2025;15(2). CrossRef
- Carboplatin liposomal nanoparticles: Preparation, characterization, and cytotoxicity effects on lung cancer in vitro environment Poy D, Ebrahimi Shahemabadi H, Akbarzadeh A, Moradi- Sardareh H, Ebrahimifar M. International Journal of Polymeric Materials and Polymeric Biomaterials.2018;67(6):376-70.
- Toxicity of Cisplatin-Loaded Poly Butyl Cyanoacrylate Nanoparticles in a Brain Cancer Cell Line: Anionic Polymerization Results Mohamadi N, Kazemi SM , Mohammadian M, Toofani Milani A, Moradi Y, Yasemi M, Ebrahimi far M, et al . Asian Pacific journal of cancer prevention: APJCP.2017;18(3). CrossRef
- Examination of AI’s role in Diagnosis, Treatment, and Patient care. In Gupta, M., Kumar, R., & Lu, Z. (Eds.), Transforming Gender-Based Healthcare with AI and Machine Learning Sajjadi Mohammadabadi SM , Seyedkhamoushi F, Mostafavi M, Borhani Peikani M. 2024;:221-228. CrossRef
- Comparative analysis of outcomes in high KDPI spectrum kidney transplants using unsupervised machine learning algorithm Moein M, Golkarieh A, Vlassis I, Saidi R, Lioudis M. PloS One.2025;20(8). CrossRef
- Ranking of AI-Based Criteria in Health Tourism Using Fuzzy SWARA Method Basirat S, Raoufi S, Bazmandeh D, Khamoushi S, Entezami M. Computer and Decision Making: An International Journal.2025;2. CrossRef
- A novel blockchain-based approach for enhanced food supply chain traceability and waste mitigation Ahmadkhan K, Ahmadirad Z, Karaminezhad K, SeyedKhamoushi F, Karimi K, Khakpash F. British Food Journal.2025. CrossRef
- Evaluation and prioritization of artificial intelligence integrated block chain factors in healthcare supply chain: A hybrid Decision Making Approach Seifi N, Ghoodjani E, Majd SS , Maleki A, Khamoushi S. Computer and Decision Making: An International Journal.2025;2:374-405. CrossRef
- The Dark Side of Digitalization: A Visual Journey of Research through Digital Game Addiction and Mental Health Nawaser K, Jafarkhani F, Khamoushi S, Yazdi A, Mohsenifard H, Gharleghi B. IEEE Engineering Management Review.2024;:1-27. CrossRef
- Acute lymphoblastic leukemia transformation with a precursor b-cell immunophenotype to burkitt’s lymphoma: A case report Jafari M, Ansari Damavandi S, Charmduzi F. Caspian J Intern Med.;14(4):760-4. CrossRef
- Efficacy of ozone therapy in dentistry with approach of healing, pain management, and therapeutic outcomes: a systematic review of clinical trials Rezaeianjam M, Khabazian A, Khabazian T, Ghorbani F, Abbasi T, Asghari S, Heidari F, et al . BMC oral health.2025;25(1). CrossRef
- Breakthroughs in Brain Tumor Detection: Leveraging Deep Learning and Transfer Learning for MRI-Based Classification Golkarieh A, Boroujeni SR , Kiashemshaki K, Deldadehasl M, Aghayarzadeh H, Ramezani A. Computer and Decision Making: An International Journal.2025;2. CrossRef
- Advanced U-Net Architectures with CNN Backbones for Automated Lung Cancer Detection and Segmentation in Chest CT Images Golkarieh A, Kiashemshaki K, Rezvani Boroujeni S, sadi Isakan N. arXiv:2507.09898.2025. CrossRef
- Integrative Cancer Care: Leveraging Nutrition and Positive Psychology for Optimal Outcomes Arabmoorchegani M, Abbasi M, Asadalizadeh M, Motavaf F. Asian Pacific Journal of Cancer Nursing.2025. CrossRef
- Unveiling the therapeutic potential of ultrasound-responsive micro/ nanobubbles in cancer management Mahmoodi M, Nouri M, Ghodousi M, Mohseni A, Ebrahimzadeh MA , Heidari A, Ebrahimi S, et al . Inorganic Chemistry Communications.2025;172:113765. CrossRef
- Epigenetic regulation of hepatocellular carcinoma progression: MicroRNAs as therapeutic, diagnostic and prognostic factors Hashemi M, Daneii P, Asadalizadeh M, Tabari K, Matinahmadi A, Bidoki SS , Motlagh YSM , et al . The International Journal of Biochemistry & Cell Biology.2024;170. CrossRef
- Bleomycin-loaded folic acid- conjugated nanoliposomes: a novel formulation for targeted treatment of oral cancer Saberian E, Jenčová J, Jenča A, Jenča A, Salehipoor F, Zare- Zardini H, Petrášová A, et al . Frontiers in Bioengineering and Biotechnology.2025;13:1535793. CrossRef
- Investigation the Characteristics of Carboplatin loaded onto Pegylated Liposomal Nanoparticles on the Rat Glioma Cell line C6 Izadi Mehdi , Hasan Ebrahimi Shahemabadi , Leila Kanaani , Kamran Amir Sardari , Meysam Ebrahimifar , Faezeh Safdari , H Moradi-Sardareh . 2025.
- Carboplatin and epigallocatechin-3-gallate synergistically induce cytotoxic effects in esophageal cancer cells Taghvaei F, Rastin SJ , Milani AT , Khameneh ZR , Hamini F, Rasouli MA , Asghari K, et al . Research in Pharmaceutical Sciences.2021;16(3). CrossRef
- The tumor microenvironment and dendritic cells: Developers of pioneering strategies in colorectal cancer immunotherapy? Ghorbaninezhad F, Nour MA , Farzam OR , Saeedi H, Vanan AG , Bakhshivand M, Jafarlou M, et al . Biochimica Et Biophysica Acta. Reviews on Cancer.2025;1880(2). CrossRef
- Cancer-associated glomerulopathy; an updated review on current knowledge Dahmardnezhad M, Foodeh T, Afshinpoor S, Fooladivanda N. Journal of Nephropathology.2024;13(2). CrossRef
- Hypericin and resveratrol anti‐tumor impact through E‐cadherin, N‐cadherin, galectin‐3, and BAX/BCL‐ratio; possible cancer immunotherapy succor on Y79 retinoblastoma cells Shahriari F, Barati M, Alizade A, Dahmardnezhad M, Arani HZ , Shahbazi S, Javidi MA . Precision Medical Sciences.2025. CrossRef
- Cervical Cancer Tissue Analysis Using Photothermal Midinfrared Spectroscopic Imaging Reihanisaransari R, Gajjela CC , Wu X, Ishrak R, Zhong Y, Mayerich D, Berisha S, Reddy R. Chemical & Biomedical Imaging.2024;2(9). CrossRef
- Rapid Hyperspectral Photothermal Mid-Infrared Spectroscopic Imaging from Sparse Data for Gynecologic Cancer Tissue Subtyping Reihanisaransari R, Gajjela CC , Wu X, Ishrak R, Corvigno S, Zhong Y, Liu J, et al . Analytical Chemistry.2024. CrossRef
- Optimal Pharmaceutical Management Strategies in Cancer Treatment: Novel Approaches Alishahi F, Soudmand N, Goki TG , Rashidoleslami TS . Asian Pacific Journal of Cancer Nursing.2025;:20250308-20250308.. CrossRef
- Effects of Melatonin on IL-6 Serum Level Changes and Fatigue Caused by Adjuvant Chemoradiotherapy in Breast Cancer Women: A Randomized Controlled Trial Sedighi Pashaki A, Afshar S, Mohamadian K, Gholami MH , Moradi A, Keshtpour Amlashi Z. Iranian Journal of Breast Diseases.2021;13(4):23-32. CrossRef
- PROTACs in gynecological cancers: Current knowledge and future potential as a treatment strategy Movahed F, Ourang Z, Neshat R, Hussein WS , Saihood AS , Alarajy MS , Zareii D. Pathology, Research and Practice.2024;:155611. CrossRef
- Effect of ABO blood group on postoperative overall survival and recurrence-free survival rate in patients with hepatocellular carcinoma after hepatectomy: a multi-center retrospective cohort study Bahardoust M, Dehkharghani MZ , Ebrahimi P, Najafirashed M, Mousavi S, Haghmoradi M, Khaleghian M, Tizmaghz A. BMC surgery.2023;23(1). CrossRef
- Effect of Metformin Use on Survival and Recurrence Rate of Gastric Cancer After Gastrectomy in Diabetic Patients: A Systematic Review and Meta-analysis of Observational Studies Bahardoust M, Mousavi S, Moezi ZD , Yarali M, Tayebi A, Olamaeian F, Tizmaghz A. Journal of Gastrointestinal Cancer.2024;55(1). CrossRef
- Vitamin B12 deficiency after total gastrectomy for gastric cancer, prevalence, and symptoms: a systematic review and meta- analysis Bahardoust M, Mousavi S, Ziafati H, Alipour H, Haghmoradi M, Olamaeian F, Tayebi A, Tizmaghz A. European journal of cancer prevention: the official journal of the European Cancer Prevention Organisation (ECP).2024;33(3):208-216. CrossRef
- Reduction of Breast Surface Dose, Cancer and Mortality Risks Using Lead Apron during the Head Scanning a Computed Tomography Technique Asghari F, Gorji KE , Mehraeen R, Kiapour M, Talebian H, Monfared AS . Iranian Journal of Medical Physics.1401;19(5).
- Efficacy of 153Sm-EDTMP on Bone Pain Palliation in Metastatic Patients: Breast and Prostate Cancers Rokni M, Amiri M, Gorji KE , Talebian H, Bijani A, Vakili M, Shafiei H, et al . Frontiers in Biomedical Technologies.2023;10(3). CrossRef
- Association of Tramadol Versus Codeine Prescriptions with all-cause mortality and cardiovascular diseases among patients with osteoarthritis: a systematic review and meta-analysis of propensity score-matched population-based cohort studies Bahardoust M, Mousavi S, Dehkharghani MZ , Arab M, Rashidi H, Gorgani H, Haghmoradi M, Askari A. Advances in Rheumatology.2024;64(1). CrossRef
- A DFT approach to the adsorption of the Levodopa anti-neurodegenerative drug on pristine and Al-doped boron nitride nanotubes as a drug delivery vehicle Shadi M, Hamedani S. Structural Chemistry.2023;:905-914. CrossRef
- Ovarian cancer stem cell biology and chemoresistance Waters J, House C. 2021;:55-77. CrossRef
- Identifying Factors Contributing to Delayed Diagnosis of Ovarian Cancer: A Comprehensive Analysis Hong K, Liu Y, Yin H, Huang K, Pu X, Zhu Z. International Journal of Women's Health.2024;16. CrossRef
- The emerging role of circular RNAs in cisplatin resistance in ovarian cancer: From molecular mechanism to future potential Malek Mohammadi M, Rismanchi H, Esmailzadeh S, Farahani A, Hedayati N, Alimohammadi M, Mafi A, et al . Non-coding RNA research.2024;9(4). CrossRef
- Mitochondrial integration and ovarian cancer chemotherapy resistance Shen L, Xia M, Zhang Y, Luo H, Dong D, Sun L. Experimental Cell Research.2021;401(2). CrossRef
- Review of the current role of targeted therapies as maintenance therapies in first and second line treatment of epithelial ovarian cancer; In the light of completed trials Korkmaz T, Seber S, Basaran G. Critical Reviews in Oncology/ Hematology.2016;98:180-188. CrossRef
- Acquired chemotherapy resistance in ovarian cancer Christie E. L., Bowtell D. D. L.. Annals of Oncology: Official Journal of the European Society for Medical Oncology.2017;28(suppl_8). CrossRef
- Enhanced Anticancer Potential of Curcumin-Loaded Liposomal Nanoparticles in Oral Cancer Treatment Moravedeh R, Samadnezhad NZ , Asadalizadeh M, Abbasi M, Nadaki A. Asian Pacific Journal of Cancer Biology.2025;10(2). CrossRef
- Evolving landscape of detection and targeting miRNA/epigenetics for therapeutic strategies in ovarian cancer Dey Bhowmik A, Shaw P, Gopinatha Pillai MS , Rao G, Dwivedi SKD . Cancer Letters.2024;611. CrossRef
- How to win the ovarian cancer stem cell battle: destroying the roots Takahashi A, Hong L, Chefetz I. Cancer drug resistance (Alhambra, Calif.).2020;3(4). CrossRef
- Advances in Exosomal microRNAs and Proteins in Ovarian Cancer Diagnosis, Prognosis, and Treatment Qin T, Chen F, Zhu J, Ding Y, Zhang Q. Current Molecular Medicine.2023;23(6):509-520. CrossRef
- The Potential of Novel Lipid Agents for the Treatment of Chemotherapy-Resistant Human Epithelial Ovarian Cancer Nachtigal MW , Altman AD , Arora R, Schweizer F, Arthur G. Cancers.2022;14(14). CrossRef
- Application Of Adoptive Immunotherapy In Ovarian Cancer Yang S, Yin X, Yue Y, Wang S. OncoTargets and Therapy.2019;12. CrossRef
- Synergistic Effects of Platinum-Based Drugs and Curcumin on Liposomal Delivery in HSC-3 Oral Cancer Cells Amiri F, Ghanbarikondori P, Amoozegar H, Kazemi K, Sadrian S, Afshari-BehbahaniZadeh S, Akbarzadehkhayavi A. Indian Journal of Clinical Biochemistry.2025. CrossRef
- Genetic-bioengineering of nanotechnology in cell-specific pharmaceutical targeting: Biological, pharmacological, and biochemical impact of nanomaterials-based breast cancer therapies Mohammadi J, Ebrahimi S, Ghodousi M, Mahmoodi M, Hheidari A, A, Pishbin E, Kharaba Z, Z, Rahdar A, Romanholo Ferreira LF . Journal of Drug Delivery Science and Technology.2025. CrossRef
- Targeting Nanog expression increased Cisplatin chemosensitivity and inhibited cell migration in Gastric cancer cells Vasefifar P, Najafi S, Motafakkerazad R, Amini M, Safaei S, Najafzadeh B, Alemohammad H, Jafarlou M, Baradaran B. Experimental Cell Research.2023;429(2). CrossRef
- The Application of Polybutyl Cyanoacrylate (PBCA) Nanoparticles in Delivering Cancer Drugs Salehi V, Izadkhah M, Salehi H, Pour NS , Ghanbarikondori P. Asian Pacific Journal of Cancer Biology.2024;9(2). CrossRef
- Characteristics and Cytotoxic Effects of Nano-Liposomal Paclitaxel on Gastric Cancer Cells Abedi Cham Heidari Z, Ghanbarikondori P, Mortazavi Mamaghani E, Hheidari A, Saberian E, Mozaffari E, Alizadeh M, Allahyartorkaman M. Asian Pacific journal of cancer prevention: APJCP.2023;24(9). CrossRef
- Studying the Characteristics of Curcumin-Loaded Liposomal Nanoparticles Afyouni I, Ghanbarikondori P, Pour NS , Hashemian PM , Jalali F, Sedighi A, Allahyartorkaman M. Asian Pacific Journal of Cancer Biology.2024;9(2). CrossRef
- Improved Antitumor Efficacy of Liposome-Encapsulated Selenium Nanoparticles Asadalizadeh M, Ghahremani H, Ghanbarikondori P, Asadalizadeh H, Rahmani P, Motlagh FR . Asian Pacific Journal of Cancer Biology.2025;10(2). CrossRef
- A Review of Poly Butyl Cyanoacrylate Nanoparticles as a Cancer Drug Delivery and Targeting Semyari S, Azizi S, Kundu D, Boroumandmoghaddam A, Moniri M, Ebrahimifar M, Toofani Milani A. Journal of Nanostructures.2021;11(4). CrossRef
- Enhanced epigenetic modulation via mRNA-encapsulated lipid nanoparticles enables targeted anti-inflammatory control Mokhtari T, Taheri MN , Akhlaghi S, Aryannejad A, Xiang Y, Mahajan V, Keshavarz K, et al . 2025. CrossRef
- Compression of radio and photo sensitivity of 5-aminolevulinic acid (5-ALA) conjugated hollow gold nanoparticles (HGNs) on KYSE cell line of oesophageal cancer Mohammadi Z, Imanparast A, Talebian H, Sobhani N, Shabanzadeh M, Sazgarnia A. Nanomedicine Research Journal.2025;9(3). CrossRef
- Combination Therapy of Curcumin and Cisplatin Encapsulated in Niosome Nanoparticles for Enhanced Oral Cancer Treatment Saberian E, Jenčová J, Jenča A, Jenča A, Petrášová A, Jenča J, Akbarzadehkhayavi A. Indian journal of clinical biochemistry: IJCB.2025;40(1). CrossRef
- Nanotechnology for boosting ovarian cancer immunotherapy Kaur P, Singh SK , Mishra MK , Singh S, Singh R. Journal of Ovarian Research.2024;17(1). CrossRef
- Hemodynamic Changes after Continuing or Omitting Regular Angiotensin Converting Enzyme Inhibitors before Cataract Surgery: A Comparative Study Khademi S, Jouybar R, Ahmadi S, Asmarian N, Ghadimi M, Salari M, Emami S. Current Hypertension Reviews.2023;19(1). CrossRef
- Effect of Short-Term Use of Sevoflurane on QT Interval in Children Undergoing Eye Surgery Khademi S, Jouybar R, Ghadimi M, Razavi M, Shahriary E. Systematic Reviews in Pharmacy.2022;13(9):888-92.
- A case report of endometrial adenocarcinoma with leptomeningeal metastases Fazilat-Panah D, Dehghani M, Ahmadi N, Karimi M, Soleimani Varaki S, Emadi Torghabeh A, Mahmoudi H, et al . Clinical Case Reports.2021;9(9). CrossRef
- FinTech and the Level of Its Adoption in Different Countries Around the World. Available at SSRN Rivandi E. 2024;:5049827. CrossRef
- A Novel Approach for Developing Intrusion Detection Systems in Mobile Social Networks Rivand E, Jamili Oskouie R. Available at SSRN 5174811.2024. CrossRef
- pH-Responsive Microneedle Actuator Array for Precise Wound Healing: Design, Actuation, Light Filtering, and Evaluation. In 2024 IEEE 17th Dallas Circuits and Systems Conference (DCAS). Pour MR , Tan JY , Saha R, Kim A, Kim J. IEEE.2024;:pp. 1-4. CrossRef
- Base Mediated 7-exo-dig Intramolecular Cyclization of Betti-propargyl Precursors: An Efficient Approach to 1,4-oxazepine Derivatives Yazzaf R, Asadi M, Mahdavi M. Current Organic Synthesis.2025. CrossRef
- Visible-light responsive La₀.₇Sr₀.₃MnO₃@TiO₂/g-C₃N₄ nanocomposite for photocatalytic antibiotic degradation and bioactivity applications Nejat R, Zandi S. Journal of Alloys and Compounds.2025;1036. CrossRef
- Niosome Encapsulation of Curcumin Xu Y, Chen W, Xu Y, Chen W, Tsosie J, Xie X, Li P, Wan J, He C, Chen M. Journal of Nanomaterials.2016;:15. CrossRef
- Enhanced Curcumin Delivery and Stability through Natural Deep Eutectic Solvent-Based Niosomes Bashkeran T, Harun A, Umakoshi H, Watanabe N, Mohd Nadzir M. ResearchGate.2025. CrossRef
- Empowering Cancer Therapy: Comparing PEGylated and Non-PEGylated Niosomes Loaded with Curcumin and Doxorubicin on MCF-7 Cell Line Saharkhiz S, Zarepour A, Zarrabi A. Bioengineering (Basel, Switzerland).2023;10(10). CrossRef
- Enhanced anti-cancer effect of curcumin loaded-niosomal nanoparticles in combination with heat-killed Saccharomyces cerevisiae against human colon cancer cells Jadid MF , Jafari-Gharabaghlou D, Bahrami MK , Bonabi E, Zarghami N. Journal of Drug Delivery Science and Technology.. CrossRef
- Optimization of Curcumin Loaded Niosomes for Drug Delivery Applications Esmaeili Rad M, Egil AC , Ozaydin Ince G, Yuce M, Zarrabi A. Colloids and Surfaces A: Physicochemical and Engineering Aspects.2025. CrossRef
- Investigation Cytotoxicity and Curcumin Release Behavior by Pyranopyrazole-TiO2@niosome Carrier for Breast Cancer Treatment Yeganeh FE , Ghafuri H, Azizi M. Applied Biochemistry and Biotechnology.2024;196(12). CrossRef
- Paclitaxel-Loaded PBCA Nanoparticles for Targeted Drug Delivery in Ovarian Cancer Ghahremani H, Ourang Z, Izadidehkordi S, Zandi S, Ebadi M, Ebrahimzade M. Asian Pacific Journal of Cancer Biology.2025;10(3). CrossRef
- Enhanced Antibacterial, Anti-Biofilm, and Anticancer Activities of Liposome-Encapsulated Selenium Nanoparticles: A Novel Therapeutic Approach Motavaf F, Abbasi M, Asadalizadeh H, Zandi S, Charmduzi F, Asadi M, Jafarlou M, et al . Asian Pacific journal of cancer prevention: APJCP.2025;26(8). CrossRef
- Silencing of myeloid cell leukemia-1 by small interfering rna improves chemosensitivity to etoposide in u-937 leukemic cells Jafarlou M, Baradaran B, Shanehbandi D, Saedi TA , Jafarlou V, Karimi P, et al . J Biol Regul Homeost Agents.2016;30(1):55-65.
- An overview of the history, applications, advantages, disadvantages and prospects of gene therapy Jafarlou M, Baradaran B, Saedi TA , Jafarlou V, Shanehbandi D, Maralani M, et al . J Biol Regul Homeost Agents.2016;30(2):315-21.
- Biomimetic nanomaterials in regenerative oral medicine, A minireview Asadi A, Rezaee M, Ghahramani Y. Journal of Oral and Dental Health Nexus.2024;1(1):70-5. CrossRef
- Sliver Nanoparticles: A Promising Strategy in Preventive Dentistry Asadi A, Rezaee M, Ghahramani Y. Journal of Oral and Dental Health Nexus.2025;2(2). CrossRef
- New Approach in Bioactive Materials for Regeneration Dental Application Khaksar E, Asadi A, Rezaei M, Abbasi F, Ghahramani Y. Advances in Applied Nano-Bio Technologies.2025. CrossRef
- Recent advances in bioactive materials: Future perspectives and opportunities in oral cancer biosensing Ghahramani Y, Tabibi SS , Khan MMR , Asadi A, Mohammadi E, Khaksar E, Khaksar E, et al . Talanta.2025;286. CrossRef
- Aluminum Nanoparticles, a New Approach in Sustainable Chemistry and Usage in Medicine Asadi A, Khaksar E, Hosseinpoor S, Abbasi R, Ghahramani Y. Advances in Applied Nano-Bio Technologies.2025;:79-91. CrossRef
- Gold nanoparticles: A powerful biosensor in oral medicine and dentistry Asadi A, Ghahramani Y. Journal of Oral and Dental Health Nexus.2025;2:1-14. CrossRef
License

This work is licensed under a Creative Commons Attribution-NonCommercial 4.0 International License.
Copyright
© Asian Pacific Journal of Cancer Biology , 2025
Author Details